Blog ini di dedikasikan untuK pembaca mendapatkan tips dan trik matematika yang diharapkan dapat membuat pembaca jadi menyukai matematika dan ingin mempelajarinya lebih lanjut
Home » Unlabelled » Download Soal Matematika Akar Kuadrat Pics
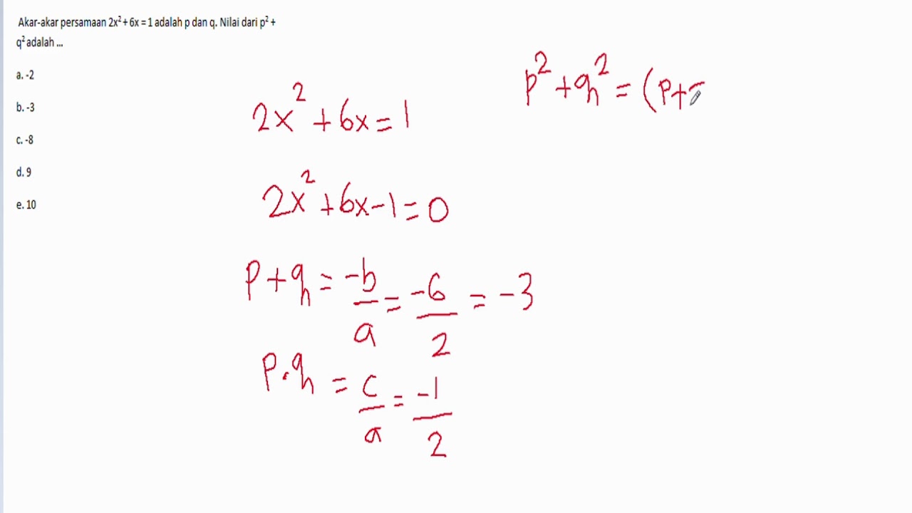
Download Soal Matematika Akar Kuadrat Pics. Bentuk umumnya yaitu ax^2 + bx + c = 0. Pembahasan soal matematika smk akp 2018 persamaan kuadrat baru yang akar akarnya matematika sma persamaan kuadrat baru.
Contoh Soal Matematika Smp Kls 9 Akar Kuadrat C1 Sampai C6 ... from s1.studylibid.com Di dalam matematika, akar kuadrat dari bilangan x sama dengan bilangan r sedemikian sehingga r² = x, atau, di dalam perkataan lain, bilangan r yang bila dikuadratkan (hasil kali dengan bilangan itu sendiri) sama dengan x. Sebagai contoh soal misalnya apabila akar kuadrat dari 124 ? Di dalam matematika, akar kuadrat dari bilangan x sama dengan bilangan r sedemikian sehingga r2 = x, atau, di dalam perkataan lain, bilangan r yang bila dikuadratkan (hasil kali dengan bilangan itu sendiri) sama dengan x.
Sistem persamaan linear tiga variabel.
Akar pangkat dua dari y adalah a sedemikian hingga a x a atau a^2 adalah y. Sekian artikel akar pangkat 2 | cara menghitung akar kuadrat. Rumus abc dalam matematika (persamaan kuadrat dan pemfaktoran). Menentukan akar lainnya dari persamaan kuadrat.
Dear readers, after reading the Content please ask for advice and to provide constructive feedback Please Write Relevant Comment with Polite Language.Your comments inspired me to continue blogging. Your opinion much more valuable to me. Thank you.
Dear readers, after reading the Content please ask for advice and to provide constructive feedback Please Write Relevant Comment with Polite Language.Your comments inspired me to continue blogging. Your opinion much more valuable to me. Thank you.